
摘要:本文針對新能源發電廠鍋爐給水系統的高壓變頻改造應用,提出了整體解決方案,結合現場實際應用情況,分析論證了鍋爐給水系統采用變頻調速后的節電效果及良好的經濟效益。
關鍵詞:電力能源 鍋爐給水系統 調速節能變頻改造
Abstract: The application ofhigh voltage variable frequency transformation in the boiler feed water systemof new energy power plant, this document puts forward the overall solution.Combining with the actual application in the field, the energy saving effectand good economic benefit of the boiler feed water system after adopting variablefrequency speed regulation are analyzed and demonstrated.
Keywords:Electric energy, Boiler feed water system, Adjustable energy saving, Variable frequency transformation
一、引言
電力能源是國民經濟的基礎性產業, 2019年上半年,我國國內生產總值為450933億元,同比增長6.3%。2019年上半年,全國全社會用電量為33980億千瓦時,同比增長5.0%,較去年有所回落。隨著我國經濟社會的發展和能源結構轉型,電、煤價格逐步上漲,發電成本逐年增加,為響應國家號召,實現節能環保型發電,國家能源局表示:用電量從前些年的高速增長階段“換擋”至當前的中速增長階段是必然趨勢。
在電力行業高壓變頻器主要用于引風機、送風機、吸塵風機、壓縮機、給水泵、循環水泵、灰漿泵、凝結泵等大功率風機和泵類的電機上。電力行業是高壓變頻器應用量最大的行業,近幾年,電力行業對高壓變頻器的需求占高壓變頻器總需求的 25%左右。
二、現場鍋爐給水系統改造概述
某新建新能源電廠鍋爐給水系統,配備兩臺高壓給水泵,一用一備。兩臺水泵入口側的取水均取自除氧器出口的公用母管,給水泵出口側均匯入同一母管,鍋爐的給水量靠水位調節門進行控制,如果給水量偏差大的時候,就需要開給水再循環門,部分水量再回到除氧器,形成了自循環,浪費了大量的水資源和電力資源,有較大的節能潛力。
供熱負荷變化時需要通過調節泵的出口門的開度來調節水量,實際上是靠壓損來減少給水流量,而電機的出力卻沒有變化。因此可以通過高壓變頻器對鍋爐給水泵電機進行變頻調速,從而實現給水量的動態調節作用。
1、主回路方案
變頻控制為一拖一手動旁路方案,配備一臺變頻器。變頻調速系統接入10kV電壓等級的主動力電源系統,用于電動機的變頻調速。為增加系統運行可靠性,變頻調速系統增加旁路,設計方案如下:

此方案是手動旁路的典型方案,它由QS1、QS2和QS33個高壓隔離開關組成。系統要求QS2和QS3不能同時閉合,機械上實現互鎖。變頻運行時,QS1和QS2閉合,QS3斷開;工頻運行時,QS3閉合,QS1和QS2斷開。
2、鍋爐給水泵和電機的參數
l 配套電機參數
電動機型號YJTFKK5005-2,額定電壓(U0) 10 kV
額定功率(Pdn) 1000 kW, 額定轉速(n0) 2980 r/min
額定電流(I0)69.8 A ,功率因數 0.86
l 配套給水泵參數
給水泵型號SBD 100-300E*12 ,效率 76%
軸功率 1000kW,額定轉速(n0) 2960r/min
額定流量 175噸/小時,揚程 1506米
3、變頻器的選型
根據現場負荷的實際運行數據,鍋爐給水泵電機的最大正常工作電流不超過69.8 A,據此選用變頻器的型號為SBH-100-1000,變頻器額定容量為1250 kVA,額定輸出電流為75 A,完全滿足現場負載運行的要求。
4、SBH系列高變頻器產品特點
l 一體化設計——更可靠
SBH系列高壓變頻器的整機結構采用一體化設計。系統更簡潔、維護更方便、安全性能更好。同時高壓變頻器的一體化設計不僅能加快設備的投運進度,縮短現場的調試服務周期,還能保證產品質量
SBH系列高壓變頻器的核心器件控制系統同樣采用一體化設計方案,該設計方案可以減少線路板件之間的連接導線,進一步提高了產品的運行可靠性。
l 單元模塊化設計——更通用
SBH系列高壓變頻器的內部核心部分——功率單元,采用模塊化設計方案,每個功率單元的結構以及電氣性能一致,可互換使用,通用性更強。
l 多功能的HMI設計——更直觀
SBH系列高壓變頻器采用7英寸彩色觸摸屏,多語言操作界面,讓用戶更直觀、更全面的監視設備運行狀態;多功能參數設置,使得設備操作的靈活更強;完善的故障分析功能,大大地縮短了故障處理時間,減少故障處理強度。

l “三滿“試驗——更穩定
SBH系列高壓變頻器在出廠前都必須經過一系列嚴格的測試環節,其中不僅包括常規帶電機運行性能試驗,同時每套設備出廠前都要進行滿電壓、滿電流、滿功率的“三滿“帶載老化試驗,從而確保每套設備的高質量。
l 矢量控制技術——低轉速,大轉矩的王牌
SBH系列變頻器采用矢量控制技術,具有低頻轉矩大。轉矩脈動小、動態響應快、機械特性好等優點,能夠滿足重載啟動的需要。
l 雙電源冗余技術——比傳統UPS方案更可靠
SBH系列高壓變頻器的控制電源部分采用雙電源冗余技術,分別有兩路電源供電,一路來自用戶AC220,一路來自于設備內部的移相變壓器三次繞組AC380V,自動切換過稱無擾動。與傳統采用UPS方案比較,具有更高的可靠性,避免了因UPS故障而引起的變頻器停機故障發生。
l 防“晃電”技術——超強的電網適應性
SBH系列高壓變頻器針對風機類負載提供瞬時掉電保護功能,當電網因雷電或發生瞬時故障導致電網供電電壓出現缺波現象時,防晃電技術可防止設備因瞬時掉電而造成欠壓停機。
同時,當供電電網出現短時(0~30S)掉電現象時,SBH系列高壓變頻器可記錄設備的當前運行狀態,待電網恢復供電后,自動恢復至掉電前的運行狀態。
l 自動限流技術——系統安全的保障
SBH系列高壓變頻器采用自動限流技術,當設備負載加重時,自動限流技術可以自動調節變頻器的輸出能力,是設備的運行更穩定;同時,限流技術在加速運行和減速停機過程中,可有效抑制電流過大的現象,是設備加速更加平滑,減速更穩定。
三、應用情況分析
(1)改善了工藝。在實際生產操作過程中,泵的參數(尤其是流量)需時常調整,不僅需要調節參數,而且備用設備需時常切換。根據工藝的變動,工藝參數又主要通過調節出口門來控制,人工關小或開大閥門不僅費事,速度慢,也縮短閥門的壽命(填料及閥桿的磨損)。采用變頻調速就不用調節出口閥,只需在控制室內調節電機的轉速即可。變頻啟動轉速可以從零開始逐漸升高,因此,帶負荷直接啟動不會有較大的啟動電流,避免了通常泵組首先關閉出口閥后再啟動的要求(無載啟動是為了降低啟動電流,保護電機)。
(2)維護量減少。采用變頻調速后,可以避免因通過閥門控制使泵過多偏離額定工作區而引起的振動。通常情況下,變頻調速系統的應用主要是為了降低泵的轉速,由于啟動緩慢及轉速的降低,相應地延長了許多零部件,特別是密封、軸承的壽命。
(3)工作強度降低。由于調速系統在運轉設備與備用設備之間實現聯鎖控制,機組實現自動運行和相應的保護及故障報警,操作工作由手動轉變為監控,完全實現生產的無人操作,大大降低了勞動強度,提高了生產效率,為優化運營提供了可靠保證。
(4)減少了對電網的沖擊。給水泵工頻起動時,啟動電流達到額定電流的5—7倍,即起動瞬間可達420 A左右。采用變頻調節后,系統實現軟啟動,電機啟動電流不超過額定電流,對電網無大的沖擊,同時減輕了起動機械轉矩對電機機械損傷,有效的延長了電機的使用壽命。
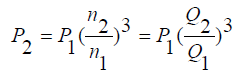
(5)節能顯著。對風機\泵類負載,由流體力學知,流量與轉速成正比,管壓與轉速的平方成正比,而軸功率與轉速的立方成正比。

水泵的調速節能效果計算比較復雜,由于水泵的靜揚程一般都不等于零,故其流量、揚程和軸功率與轉速的關系要在作出各工況點的相似拋物線,并求出各工況點的轉速后,才能用比例定律計算。水泵所消耗的電功率也可用比例定律求得。
根據GB12497《三相異步電動機經濟運行》強制性國家標準實施監督指南中的計算公式,即:風機、泵類,采用擋板調節流量對應電機輸入功率PL與流量Q的關系為:

式中:Pe-額定流量時電機輸入功率kW
QN-額定流量
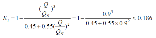
若流量的調節范圍(0.5~1)QN,則節電率為:

若系統運行在45Hz ,此時系統節電率為:

四、結語
使用希望森蘭生產的高壓變頻器以來,設備可一直穩定運行,顯著改善鍋爐給水系統機組的運行情況,綜合節電率達29%左右,相當于降低了1個百分點的廠用電率。
五、參考文獻
1. 《SBH系列高壓變頻器用戶手冊》
2. 《GBT30843.1-2014 1kV以上不超過35kV的通用變頻器調速設備》
3. 《水泵系統變頻調速節能計算》